返回首页

安全工程学院2025年研究生学业奖学金评定实施细则
发布日期:2025-09-25


安全工程学院2025年研究生学业奖学金评定实施细则

为提高研究生培养质量,进一步完善研究生激励机制,明确学科建设导向,促进高质量成果产出,充分调动研究生课程学习和科学研究的积极性,根据《北京市教育委员会等六部门关于印发〈北京市高等教育、中等职业教育、普通高中学生资助资金管理实施办法〉的通知》(京教财〔2020〕22号)、《北京石油化工学院研究生奖学金管理办法》等文件要求,结合安全工程学院研究生教育的实际情况及学科建设需求,特制定本实施细则。

一、参评对象

具有我校学籍、按规定注册的全日制在校硕士研究生。

二、奖励标准及名额分配

1.奖励标准:研二及研三学业奖学金分一等奖、二等奖和三等奖,奖学金额度分别为10000元/生、8000元/生和6000元/生。

2.名额分配:各等级奖学金分配名额按照当年度研究生处下发的比例及指标执行,本年度分配名额如下:

2023级研究生,一等奖3人;二等奖6人,三等奖9人

2024级研究生,一等奖3人;二等奖3人,三等奖7人

三、参评基本条件

1.热爱祖国,拥护中国共产党的领导,自觉遵守国家法律和学校校规校纪。

2.态度端正、思想上进,热心为同学服务。

3.学习勤奋,完成培养方案规定的培养环节,课程成绩达到优良以上(≥80,四舍五入)。

4.积极参加学术活动以及学校、学院、班级等组织的各类活动,或在参加社会实践、代表研究生参加活动方面成绩显著者。

5.积极参与导师课题研究,导师对学生评价优秀。

6.所在宿舍安全卫生合格。

四、安全工程学院研究生学业奖学金评审小组

按照学校文件要求,各研究生培养单位成立研究生奖学金评审委员会,负责奖学金评审的具体组织和实施工作。评审委员会由培养单位主要负责人担任主任,分管研究生工作副院长、学生工作副书记、研究生秘书、研究生辅导员、研究生导师代表、研究生代表等任成员,评审委员会一般不少于 9 人。根据要求,安全工程学院研究生学业奖学金评审小组成员共9人,其中三个团队教师代表由各团队自行推荐。具体名单如下:

组长:学院负责人

副组长:分管研究生工作副院长

成员:学生工作副书记、研究生秘书、学科秘书(或科研秘书)、其他年级研究生代表1名、化学品安全技术团队导师代表1名,粉尘与气体安全技术团队导师代表1名,城市风险与应急管理团队导师代表1名。

秘书:研究生秘书(兼)

五、评选程序

1.有意愿申请学业奖学金的研究生,在2025年9月30日之前完成在线报名,并在10月10日之前将全部支撑材料,提交给研究生秘书,申请材料一经提交,不得撤回,修改或增加。

2.安全工程学院研究生学业奖学金评审小组对申请学业奖学金学生的材料进行初步评审,听取研究生秘书对于申请人学位课成绩、科研与学科竞赛及其他表现的情况介绍和加权成绩,评委审议研究生学业奖学金奖名单。评审小组确定获奖学生名单后,在安全工程学院内进行不少于5个工作日的公示。公示无异议后,提交学校研究生工作部(处)。

3.研究生个人对奖学金初评结果有异议者,可在安全工程学院公示期内向安全工程学院学业奖学金评审小组提出申诉,评审小组应在接受申诉后3个工作日内做出答复;如研究生个人对安全工程学院学业奖学金评审小组答复仍有异议,可在收到答复后3个工作日内向学校奖学金评定领导小组提出申诉,学校研究生奖学金评定领导小组在接受申诉后5个工作日内征求各方意见、综合审查后做出处理意见,通报研究生本人及所在学院,该处理意见为最终处理意见。

4.研究生工作部(处)在公示无异议后将最终获奖名单上报学校,并按规定标准发放奖学金。

5.研究生在申报学业奖学金项目过程中应当自觉遵守学术诚信,严禁弄虚作假,导师应严格审核把关,一旦公示期间或获奖后发现学术失范行为,将撤销所获奖项,依据相关管理条例和规定予以纪律处分,并依据《北京石油化工学院硕士学位授予规定》予以暂缓授予学位、不授学位或撤销学位的处理,并追究相关导师的责任。

六、具体评定标准

本年度研究生各等级学业奖学金的评定以研究生一年级所修读的学位课课程成绩、前一学年的科研表现和综合素质加权后的得分为主要参考依据,《加权成绩计算公式说明》详见附件1

七、其他事项

1.以下科研成果不能参与2025年度学业奖学金评选

(1)中国科学院发布的年度国际期刊预警名单中发表的论文;

(2)未列入中科院 JCR 分区 1 区的开源性(Open access)期刊上发表的论文。

2.评审材料提交后立即生效,不能更改,申请人应如实填写评审材料,如审核发现存在弄虚作假情况,一律取消申请资格。

3.参与成绩计算的科研与学科竞赛支撑材料,除科技类奖励及标准编制之外,其他成果应以我校为第一署名单位;科研论文、授权专利、软件著作权仅限研究生为第一作者或导师为第一作者参评研究生为第二作者取得的成果;统计时间原则上为上年度9月1日至2025年9月7日(含),所有支撑材料提交纸质版且需要导师签字确认。

4.学术科研论文必须是正式发表或可通过相关网络/系统检索到,被SCI/EI/ISTP等收录的论文应提供收录证明。

5.可多次申请研究生学业奖学金,但第二次申请奖学金时,前一次获奖时申报用过的成果不得重复加分。同一成果认定级别后又获得更高级层次认定的,可在下个评选周期基于 “就高补差”原则进行补齐分值。成果类证明若存在滞后性发放,在上个评选周期未能加分的,可在下个评选周期补充加分,但是需同时符合限项数量要求。

6.中科院分区(升级版)结果就高不就低(含大、小类分区)。学术科研论文不包括发表在正常期卷外的专刊和增刊上的论文以及简介、来信、短评等非学术文章;同一篇论文符合多项认定标准,基于“就高”原则进行成果认定。

7.在评选周期内,如有上级新文件下发,按上级规定执行。

8.此细则自公布之日起实施,由安全工程学院研究生学业奖学金评审小组负责解释。

 

安全工程学院

2025年9月2日


附件1 加权成绩计算公式及相关说明

二年级研究生加权成绩计算公式:加权成绩= 学位课课程成绩(一年级所修读) × 60% + 科研与学科竞赛成绩(前一学年)× 30%+ 综合素质(前一学年)× 10%

三年级研究生加权成绩计算公式:加权成绩= 学位课课程成绩(一年级所修读) × 30% + 科研与学科竞赛成绩(前一学年)× 60%+ 综合素质(前一学年)× 10%

一、 学位课课程成绩(满分100分)

按一年级所修学位课计算所得平均学分绩。

二、 综合素质成绩(满分100分)

包括基础分(60分)、参加活动分(20分)、平时表现(20分)。在基础分(60分)基础上,平时表现分值由各年级学生根据班级学生担任班委、管理岗位、平时综合表现等情况进行自评和互评,自评和互评分值设置5分、10分、15分、20分,取班级学生自评和互评分(排除5个最高分值和5个最低分值)的平均值作为平时表现分。参与学院认定的活动情况,每参与1次可得2分,共20分。

三、科研与学科竞赛成绩(满分100分)

科研创新能力培养是研究生教育的核心内容,更是提高研究生培养质量的重要标志,本部分鼓励研究生在学期间专注于发表高质量成果,科研与学科竞赛成绩总分100分,如参评学生各项得分之和超过100分,则按照当年参评学生最高分折算为100分进行统一折算计算。

(一)发表学术论文量化标准  

(1)研究生在SCI源刊上正式发表或被检索的论文按照表1进行评分,SCI源刊名录及分区情况按照评选时最新的中科院分区表为依据。

SCI类论文以检索日期为准,在评选周期内被正式检索即得满分。对于论文已经正式出版,但是尚未被检索到的,可获得正式出版的分值;下个周期如新增检索收录的,可在下个评选周期申请检索分值。

表1  SCI论文评分标准

类型

正式出版(分)

SCI检索(分)

合计(分)

四区(非OA)

10

5

15

三区(非OA)

15

10

25

二区(非OA)或

开源一区(OA)

20

15

35

一区(非OA)

20

20

40

(2)研究生在中文EI源刊发表论文或发表的期刊论文被EI检索收录,一篇计15分。

(3)研究生在北大中文核心期刊发表论文,一篇计10分;在中国科技核心期刊发表论文,一篇计8分。

(4)研究生发表一般期刊论文或发表会议论文并被ISTP、EI收录,一篇计5分,发表普通会议论文一篇计2分(该部分成果在一个评选周期内每人限申报2项,且最多得10分)。

(二)申请与获得专利授权量化标准

(1)授权国家实用新型专利一项计5分,已有公开号的发明专利一项计2分。(该部分选项每个评选周期内每人最多共申报2项且不超过10分)。

(2)授权国家发明专利,一项计15分(含专利公开后所得2分)。

(3)授权发达国家(欧、美、日等)发明专利一项计20分,同一专利先后申请国家发明专利及发达国家专利的,按照“就高补差”原则,不重复计算,欧洲发达国家限英国、德国、法国、意大利、西班牙。

(三)软件著作权量化标准

研究生授权软件著作权,一项计5分。(每个评选周期每人最多申报2项,且不超过10分)。

(四)学科竞赛量化标准

学科竞赛认定可参考校内网“北京石油化工学院已认定学科竞赛目录”https://www.bipt.edu.cn/pub/jwc/jxjs/xkjs/228900.htm。同一成果符合多项认定标准时,按照最高级别认定,不重复认定。同一学科竞赛中同一类项目,每位研究生最多认定3项且衍生出的奖项(以竞赛规则为准)不予认定。同一成果认定级别后又获得更高级层次的奖项,基于 “就高补差”原则进行补齐分值。

学科竞赛分成四个等级,如表2所示,按照获奖证书中所有学生数量n排序(含本科生),贡献度依次为1、1/2、1/3...1/n。每个评选周期内,每人总计最多申报3项代表性获奖作品。每个研究生的分值按照以下公式计算:

获奖证书总共n人,研究生排名第i,分值Pi为:

1.jpg

表2 学科竞赛评分标准

成果等级

获奖类型

总分值(P)

备注

一等成果

甲级竞赛二等奖及以上

35

等同于中科院分区(升级版)1、2 区论文

二等成果

甲级竞赛三等奖;乙级竞赛二等奖及以上

25

等同于中科院分区(升级版)3区论文

三等成果

乙级竞赛三等奖;丙级竞赛二等奖及以上

15

等同于中科院分区(升级 版)4 区论文

四等成果

丙级竞赛三等奖

10

等同于一篇核心期刊

(五)智库贡献量化标准

研究生排名前三名(含导师)参与撰写智库类材料或研究报告被政府部门正处级单位正式采纳,计5分;被厅局级及以上单位采纳计10分。采纳证明以政府部门出具的盖章证明文件为准(每个评选周期每人最多申报2项,且上限为10分,每个采信证明只能用1次,且只能1人使用)。

(六)学术报告量化标准

在国际会议(线下)做口头报告,计5分;在国际会议(线上)或全国性会议上(线下)做口头报告,计2分。同一会议多次参会不累加计算,本部分每个评选周期内每人最高计5分。需提供邀请函或会议议程(含个人汇报内容),以及参会照片和口头报告材料等支撑材料。

(七)学术著作量化标准

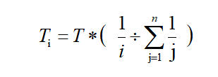
学术著作仅限于我校研究生为署名人(限前4名)且在封面、前言、序言或后记中出现我校规范名称的学术性专著、编著、译著。按照所有作者数量n排序,贡献度依次为1、1/2、1/3...1/n。

著作署名总共n人,研究生排名第i,分值Ti为:

2.jpg

表3  学术著作评分标准

成果等级

专著类型

总分值(T)

备注

一等成果

英文专著;入选《国家哲学社会科学成果文库》的中文学术著作

35

等同于中科院分区(升级版)1、2 区论文

二等成果

中文专著

25

等同于中科院 分区(升级版)3区论文

三等成果

中文编著或译著

15

等同于中科院 分区(升级 版)4 区论文

(八)科技奖励量化标准

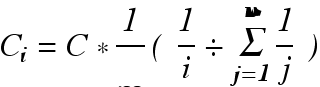
(1)我校为主要完成单位(提供单位获奖证书),我校研究生为主要完成人(提供个人获奖证书)的国家级或省部级科技进步奖、技术发明奖、自然科学奖;教育部高等学校科学研究优秀成果奖(人文社科);国家奖励办登记的社会力量奖或国家一级学会(协会)奖励;国家级或省部级专利奖和外观设计奖。评分按照研究生在获奖名单中总排名进行折算。(每个评选周期每人最多申报2项)

若本单位排名为m,证书总共n人,研究生排名第i,个人分值Ci为:



表4 科技奖励评分标准

成果等级

标准类型

总分值(C)

备注

一等成果

国家级奖项

35

等同于中科院分区(升级版)1、2 区论文

二等成果

省部级一等奖;国家一级学会(协会)一等奖

25

等同于中科院 分区(升级版)3区论文

三等成果

省部级二等奖;国家一级学会(协会)二等奖

15

等同于中科院 分区(升级 版)4 区论文

四等成果

省部级三等奖;国家一级学会(协会)三等奖

10

等同于1篇核心期刊

(2)获优秀论文奖等其他类型科技奖励,一项计2分(每个评选周期每人最多申报2项,且不超过4分)。

(九)标准制定量化标准

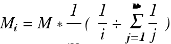
研究生参与制定国家/国际技术标准规范、国家一级行业、省级地方技术标准等规范并颁布实施。以标准中的署名顺序为准,贡献度按照总排名依次为1、1/2、...1/n。(每个评选周期每人最多申报2项)

若总分为M,每个研究生的分值按照以下公式计算

若本单位排名为m,标准编制总共n人,研究生排名第i的,分值Mi为:



表5 标准类成果评分标准

成果等级

标准类型

总分值(M)

备注

一等成果

制定国际技术标准并颁布执行

35

等同于中科院分区(升级版)1、2 区论文

二等成果

制定国家技术标准并颁布执行

25

等同于中科院 分区(升级版)3区论文

三等成果

制定国内行业标准或地方标准并颁布执行

15

等同于中科院 分区(升级 版)4 区论文

四等成果

制定国内团体或企业标准并颁布执行

10

等同于1篇核心期刊

 

1